ESPECTROSCOPÍA INFRARROJO

PRINCIPIOS BÁSICOS

 

OBTENCIÓN DE ESPECTROS INFRARROJOS

Para obtener espectros infrarrojos a través de la web disponemos de dos tipos de recursos:

INDICE

ESPECTROSCOPÍA: ORIGEN DEL PROBLEMA

ESPECTROSCOPÍA ULTRAVIOLETA-VISIBLE

EL ESPECTRO UV

ESPECTROMETRÍA DE MASAS

EL ESPECTRO DE MASAS

LA PRESENCIA DE ISÓTOPOS

ESPECTROSCOPÍA INFRARROJA

MODOS DE VIBRACIÓN MOLECULAR

ESPECTROS IR DE SUSTANCIAS ORGÁNICAS

ESPECTROSCOPÍA DE RESONANCIA MAGNÉTICA NULEAR (RMN)

DESPLAZAMIENTO QUÍMICO

INTERPRETACIÓN ESPECTRO RMN

EJEMPLOS ESPECTRO RMN 1H

SIMULADOR ESPECTROS RMN 1H

ESPECTRO RMN 13C

ELUCIDACIÓN ESTRUCTURAL

EJERCICIOS ESPECTROSCOPÍA

ESPECTROSCOPÍA EN LA WEB

Bases de datos

SDBS

Simuladores

TeleSpec - Interactive

 

Úselos para obtener los espectros de infrarrojo de las siguientes sustancias:

n-butano ; but-2-eno ; butan-2-ol ; butanamina ; butanal y ácido butanoico

Observe los espectros y deduzca de ellos las CARACTERÍSTICAS BÁSICAS DE UN ESPECTRO IR

En el espectro aparecen una serie de picos (no como en el UV que sólo aparecía uno ancho) generando un conjunto complejo

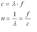
En un espectro IR se representa la transmitancia (%) o la absorbancia (%) frente al número de onda de la radiación IR empleada (el número de onda es el inverso de la longitud de onda).

La zona infrarroja escaneada va de 400 a 4000 cm-1, que corresponden entre 25000 y 2500 nm de longitud de onda respectivamente (recuerde que cuanto mayor sea el número de onda menor es la longitud de onda y mayor es la frecuencia).

El espectro se suele dividir en dos zonas: de 4000 a 1000 cm-1 se le conoce como región de grupos funcionales, de 1000 a 400 cm-1 como zona de la huella dactilar

¿CÓMO SE PRODUCE UN ESPECTRO IR?

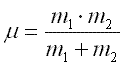
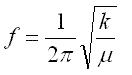
La luz infrarroja no tiene suficiente energía para producir saltos electrónicos pero sí puede modificar la forma de vibrar de la molécula. Los enlaces covalentes hay que entenderlos como “muelles” que unen masas y que, en consecuencia, pueden vibrar con una frecuencia natural que depende de las características elásticas de ese “muelle” (k; constante elástica en términos físicos) y las masas que une (μ; masa reducida).


Cada tipo de enlace (C-H ; C=O ; C-N ....) tiene su frecuencia natural de vibración que cae dentro de la zona infrarroja. Cuando la molécula analizada (que supuestamente contiene alguno de esos enlaces) es irradiada con luz infrarroja, se produce absorción de fotones de frecuencias coincidentes con las frecuencias naturales de vibración de los enlaces. La luz que alcanza el detector, por tanto, contiene todas las longitudes de onda originales menos las absorbidas, eso es lo que vemos en el espectro IR.

Esta simple comparación permite explicar por qué unas señales se obtienen a frecuencias más o menos altas que otras:

Cuanto mayor sea la constante elástica del “muelle” (más fuerte el enlace) mayor será la frecuencia natural de absorción

Enlaces CC :

C-C (1000 cm-1), C=C (1600 cm-1) and C≡C (2200 cm-1)

Enlaces CH:

C-C-H (2900 cm-1), C=C-H (3100 cm-1) y C≡C-H (3300 cm-1)

Cuanto mayor sea la masa reducida del sistema menor será la frecuencia natural de absorción

C-H (3000 cm-1); C-C (1000 cm-1); C-Cl (800 cm-1); C-Br (550 cm-1); C-I ( 500 cm-1)

SIMULACIÓN ESPECTRO IR

Con esta simulación de la acetofenona podrá ver la vibración que corresponde a cada uno de los picos del espectro IR