SUSTITUCIÓN EN COMPLEJOS DE COORDINACIÓN

 
 

 

La formación de complejos implica la sustitución de unos ligandos por otros. En la comprensión de este proceso de sustitución es útil el modelo de ácidos/bases duros/blandos.

Las reacciones de sustitución en complejos de coordinación se clasifican en: electrofílicas y nucleofílicas dependiendo que se sustituya el ion metálico o los ligandos, respectivamente.

Las reacciones de sustitución nucleofílica de ligandos se puede reaizar en base a tres mecanismos diferentes:

- Mecanismo disociativo

Un complejo MLn pierde primero un ligando para formar el intermedio MLn-1 , y a continuación el ligando entrante Y reacciona con el fragmento MLn-1.

En los complejos octaédricos el mecanismo sería:

En el caso de los complejos octaédricos, esta reacción es de primer orden con respecto a MLn y cero con respecto a Y. En el primer paso, lento, no interviene el ligando Y.

velocidad = k1[MLn]

- Mecanismo asociativo

El ligando entrante Y ataca al complejo MLn formando un intermedio MLnY. A continuación el intermedio pierde in ligando L y se forma el complejo MLn-1Y.

En los complejos octaédricos el mecanismo sería el siguiente. Se comprueba que el paso controlante debería ser el primero a causa de las dificultades estéricas del acercamiento del ligando Y al complejo. La cinética sería de segundo orden, ya que en el paso controlante intervienen tanto el complejo como nuevo ligando.

Velocidad = k1[ML5X][Y]

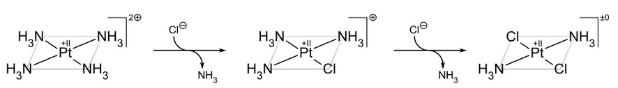
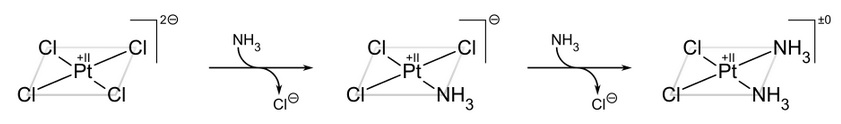
Este mecanismo es muy común en complejos plano cuadrados de metales d8, como (IrCl(CO)[P(C6H5)3]2) o el tetracloroplatinat(II)

Si la sustitución por mecanismo asociativo continúa después de la incorporación del primer ligando, hay que tener en cuenta el denominado "efecto trans". Hay ligandos que tienen tendencia a entrar en posición trans con respecto a otro ligando igual que ya exista en el complejo. El cloro tiene un efecto trans más intenso que el amoniaco. Por ello, en el complejo [PtCl3(NH3)]- la entrada de un nuevo ligando amoniaco lo hace en posición cis.

Sin embargo, en el [PtCl(NH3)3]+ la entrada de un nuevo Cl ocure en posición trans

- Mecanismo de intercambio

Ese mecanismo concertado es similar a la sustitución nucleofílica SN2 que ocurre en los carbonos tetraédricos de Química Orgánica. El mecanismo de intercambio es posteriormente clasificado como asociativo (Ia) o disociativo (Id) dependiendo de la importancia relativa que tengan los enlace M-Y y M-L en el estado de transición. Si el estado de transición está caracterizado por la formación de un fuerte enlace M-Y el mecanismo es asociativo (Ia). Por el contrario, si el debilitamiento del enlace M-L es más importante en el alcance del estado de transición el mecanismo es disociativo (Id).


CONSIDERACIONES CINÉTICAS DE LAS REACCIONES DE SUSTITUCIÓN EN COMPLEJOS DE COORDINACIÓN

Los compuestos que reaccionan rápidamente se denominan lábiles. Muchas reacciones de intercambio de ligandos tienen lugar en el tiempo en que se tarda en remover la mezcla. Se ha sugerido que un compuesto se denomine lábil si la reacción dura menos de medio minuto. Ejemplos de reacciones rápidas son las siguientes

Los compuestos que reaccionan lentamente se denominan inertes. Por ejemplo, la sustitución del [Co(NH3)6]3+ con agua es extremadamente lenta (dura años).

Los conceptos cinéticos lábil e inerte no se deben confundir con los termodinámicos estable e inestable. Por ejemplo, el anterior complejo de cobalto [Co(NH3)6]3+ es inerte pero termodinámicamente es inestable.

Se ha observado que la constante de velocidad de un ion dado es aproximadamente constante sin importar la naturaleza edel grupo entrante.

Por ejemplo, en ion [Co(NH3)6]2+, formado en torno a Co(II) es lábil, todo lo contrario que el obtenido a partir de Co(III). En él la sustitución de amoniaco por agua es muy rápida.

Las velocidades de sustitución clasifican a los iones metálicos en cuatro grupos.

Clase I

- El intercambio de agua es extremadamente rápido

- La constante de velocidad es del orden de k > 108 s-1

- Se incluyen los complejos de metales alcalinos, grandes alcalinotérreos (excepto Be2+ y Mg2+) y el grupo 12 (excepto Zn2+, Cr2+ y Cu2+

- Estos iones metálicos están caracterizados por baja carga y gran tamaño.

Clase II

- El intercambio de agua es rápido

- La constante de velocidad es del orden de 105 > k > 108 s-1

- Se incluyen Mg2+ y los iones lantánidos tripositivos y la mayor parte de iones divalentes de los metales de transición 3d, excepyo V2+.

Case III

- En el intercambio de agua presentan constante de velocidad 100 > k > 104 s-1

- Se incluyen la mayoría de iones trivalentes de los metales de transición 3d y los iones Be2+ ; Al3+ y V2+

Clase IV

- El intercambio de agua es lento

- Forman complejos inertes

- constante de velocidad 10-9 > k > 10-1 s-1

- Se incluyen Cr3+ (d3), Ru(III )(bajo spin d5), Pt2+(bajo spin d8)

Constante de velocidad en el intercambio de agua

Derivación de la expresión de velocidad para el mecanismo disociativo

Derivación de la expresión de velocidad para el mecanismo de intercambio

Considerar la siguiente reacción de sustitución en un complejo octaédrico

Si el complejo L5MX acumula suficiente energía para que el enlace M-X vibre y empiece a romperse, pero, antes de romperse completamente, M empieza a formar un enlace con Y, pueden darse dos mecanismos:

Cuando k2<<<k-1, la primera etapa es un equilibrio K= k1/k-1

Si [Y] es grande comparada con [ML5X] (condición experimental bastante común), la concentración de las especies de transición inestables puede ser suficientemente grande para cambiar significativamente la concentración de [ML5X] pero no de [Y]. Por esta razón se puede buscar la solución en términos de la cantidad total inicial de reactivos ML5X y Y, que podemos denominar [M]o y [Y]o.

Asumiendo que la concentración de producto final [ML5Y] es suficientemente pequeña como para no cambiar significativamente al concentración de [Y]

[Y]o = [Y]

A partir de la condición de estado estacionario obtenemos

La constante de equilibrio K1 puede ser medida experimentalmente o calculada teóricamente.

Cuando [Y]o es pequeña, en el denominador solo queda 1 y la ecuación de velocidad es de segundo orden:

velocidad = k [M]o[Y]o

Cuando [Y]o es grande, [X] + k1[Y] = k1[Y] y 1+ K1[Y]o = K1[Y]o y se cancelan las [Y]o , quedando una cinética de primer orden:

velocidad = k [M]o

Derivación de la expresión de velocidad para el mecanismo asociativo

En la reacción de asociación la etapa controlante de la velocidad es la primera. En ella se forma a un intermedio con elevado índice de coordinación. A continuación hay una reacción rápida en la que el ligando saliente se pierde.

Cinética de segundo orden

 

INDICE